Beranda
/ Rumus Tegangan Tali Katrol : Penerapan Hukum Newton Pada Berbagai Kasus / #1 massa katrol diabaikan ingat bahwa tegangan tali yang dialami benda 1 sama dengan tegangan tali yang dialami benda 2 (t 1 = t 2 = t).
Rumus Tegangan Tali Katrol : Penerapan Hukum Newton Pada Berbagai Kasus / #1 massa katrol diabaikan ingat bahwa tegangan tali yang dialami benda 1 sama dengan tegangan tali yang dialami benda 2 (t 1 = t 2 = t).
Rumus Tegangan Tali Katrol : Penerapan Hukum Newton Pada Berbagai Kasus / #1 massa katrol diabaikan ingat bahwa tegangan tali yang dialami benda 1 sama dengan tegangan tali yang dialami benda 2 (t 1 = t 2 = t).. Kedua balok tersebut dihubungkan seutas tali melalui katrol licin dan massanya diabaikan. Katrol ialah roda ataupun cakram pejal yang berputar pada porosnya, dan dilewati sebuah rantai ataupun tali. Pembagian kelompok juga didasarkan dengan mengabaikan atau tidak mengabaikan massa katrol. Contoh soal tegangan tali t1 dan t2. Kumpulan rumus percepatan dan tegangan tali sistem katrol materi dinamika translasi 2 fisikabc f101 dinamika benda partikel :
Balok 1 terletak di bidang miring dengan sudut kemiringan sebesar 30° sedangkan balok 2 dalam posisi menggantung. Pembagian kelompok juga didasarkan dengan mengabaikan atau tidak mengabaikan massa katrol. Katrol licin (massa diabaikan), m 1 > m 2 , m 1 bergerak turun, m 2 bergerak ke atas. Mencari rumus tegangan tali dari balok menggantung yang melewati katrol dan menarik satu balok lain yang mendatar. Rumus cepat menghitung nilai percepatan dan tegangan tali pada katrol
Latihan Soal Utbk 2021 Fisika from www.brainacademy.id #1 massa katrol diabaikan ingat bahwa tegangan tali yang dialami benda 1 sama dengan tegangan tali yang dialami benda 2 (t 1 = t 2 = t). T = m b (a + g) contoh soal perhitungan gaya berat benda gerak pada lift Benda bermassa m 1 terletak di atas bidang datar, sedangkan benda bermassa m 2 tergantung bebas pada seutas tali. Jika, massa benda a lebih besar dari massa benda b atau m 1 > m 2, maka mengakibatkan benda a akan bergerak turun dan sebaliknya benda b akan bergerak naik.karena massa dan gesekan katrol diabaikan, maka besarnya tegangan pada ujung tambang selama sistem bergerak. Contoh soal 2 balok tergantung pada katrol tetap video ini membahas contoh kasus 2 balok yang digantungkan vertikal yang dihubungkan dengan tali. Roda yang tepi kanan dan kirinya dibuat lebih tinggi dari bagian tengah agar tali bisa dipasang dan bergerak sepanjang badan roda tersebut. Kumpulan rumus percepatan dan tegangan tali sistem katrol materi dinamika translasi 2 fisikabc. Tegangan akan muncul saat benda itu ditarik, digantung, diayunkan atau …
Audience akan dibawa secara perlahan untuk membuat rumus cepat menghitung.
Karena dua sistem tersebut berbeda rumus perhitungannya, maka kita akan bahas satu persatu sebagai berikut : R umus gaya tegangan tali. Sedangkan untuk menentukan tegangan tali, berlaku rumus: Bidang miring licin, tanpa katrol. Persamaan tegangan tali dan percepatan. 😨 rumus berlaku umum untuk sistem benda yang ditarik atau didorong. Karena tegangan tali pada benda pertama sama dengan tegangan tali pada benda kedua, maka Pembahasan soal hukum newton balok pada bidang datar licin yang dihubungkan dengan tali menggunakan katrol licin. Gaya tegangan tali atau tension. Gaya tegangan ini merupakan bagian dari hukum newton dalam ilmu fisika. Contoh katrol yang dijumpai pada timba air merupakan jenis katrol tetap. G = percepatan gravitas yang dinyatakan dalam m/s2. Pelajari materi hukum newton dan gaya berat agar lebih memahami pembahasan soal ini.
Jika, massa benda a lebih besar dari massa benda b atau m 1 > m 2, maka mengakibatkan benda a akan bergerak turun dan sebaliknya benda b akan bergerak naik.karena massa dan gesekan katrol diabaikan, maka besarnya tegangan pada ujung tambang selama sistem bergerak. A = m 2.g/(m 1 + m 2) untuk memantapkan pemahaman kamu tentang gerak benda yang dihubungkan dengan tali melalui katrol silahkan simak contoh soal di bawah ini. Lantai licin, katrol licin (massa dan tali diabaikan), m 1 bergerak turun, m 2 bergerak ke kiri. Balok 1 terletak di bidang miring dengan sudut kemiringan sebesar 30° sedangkan balok 2 dalam posisi menggantung. Dua buah benda terhubung oleh sebuah tali dan katrol membentuk sebuah sistem katrol pada.
Contoh Soal Dan Pembahasan Sistem Katrol Materi Dinamika Translasi 1 Fisikabc from 2.bp.blogspot.com Tegangan akan muncul saat benda itu ditarik, digantung, diayunkan atau … Dimaksud katrol bergerak karena katrol dapat bergerak bebas, beban digantungkan pada bagian poros atau sumbu katrol dan dihubungkan dengan seutas tali, seperti pada katrol tetap pada katrol bergerak juga dapat berlaku rumus sebagai berikut : Katrol licin (massa diabaikan), m 1 > m 2 , m 1 bergerak turun, m 2 bergerak ke atas. Contoh soal tegangan tali t1 dan t2. Sistem dua buah balok yang melewati katrol, dimana balok yang satu bergerak mendatar dan balok yang lain menggantung, menggunakan prinsip hukum ii newton. Sedangkan untuk menentukan tegangan tali, berlaku rumus: Tentukanlah gaya tegangan tali sistem dan percepatan masing masing balok apabila bidang datar kasar dengan koefisien gesek balok 1 dan 2 masing masing sebesar 0,2 dan 0,3. Karena tegangan tali pada benda pertama sama dengan tegangan tali pada benda kedua, maka
Karena tegangan tali pada benda pertama sama dengan tegangan tali pada benda kedua, maka
Roda yang tepi kanan dan kirinya dibuat lebih tinggi dari bagian tengah agar tali bisa dipasang dan bergerak sepanjang badan roda tersebut. Rumus cepat menghitung nilai percepatan dan tegangan tali pada katrol R umus gaya tegangan tali. Cara cepat mengerjakan soal hukum 1 newton tentang kesetimbangan katrol yang digantung mengakibatkan muncul gaya berat tegangan tali. Soal fisika sma kelas 10 semester 2 kurikul. Contoh soal tegangan tali t1 dan t2. Jika permukaan bidang licin dan g = 10 m.s −2, maka percepatan sistem adalah …. Benda bermassa m 1 terletak di atas bidang datar, sedangkan benda bermassa m 2 tergantung bebas pada seutas tali. Lantai licin, katrol licin (massa dan tali diabaikan), m 1 bergerak turun, m 2 bergerak ke kiri. Gaya ini sebenarnya adalah tegangan yang berada pada sebuah tali, kabel, benang atau apapun yang dapat merenggang saat dihubungkan dengan sebuah benda. Katrol licin (massa diabaikan), m 1 > m 2 , m 1 bergerak turun, m 2 bergerak ke atas. #1 massa katrol diabaikan ingat bahwa tegangan tali yang dialami benda 1 sama dengan tegangan tali yang dialami benda 2 (t 1 = t 2 = t). Katrol ialah roda ataupun cakram pejal yang berputar pada porosnya, dan dilewati sebuah rantai ataupun tali.
M 1.a + m 2.a = m 2.g. Pembagian kelompok juga didasarkan dengan mengabaikan atau tidak mengabaikan massa katrol. Misal, dua buah balok a dan b dihubungkan dengan suatu tambang melalui sebuah katrol yang licin dan massanya diabaikan. Kita bisa mencari gaya tegangan tali pada balok kereta dengan rumus cepat, hanya 30 detik! T = m b (a + g) contoh soal perhitungan gaya berat benda gerak pada lift
Hukum Newton Pada Gerak 3 Benda Yang Dihubungkan 2 Katrol Di Bidang Datar Licin Fisikabc from 3.bp.blogspot.com Salah satu ujung untuk menarik dan ujung satu lainya adalah letak beban. B) percepatan sudut katrol c) tegangan tali soal no. Mencari informasi terkait contoh soal tegangan tali t1 dan t2. Misalnya pada timba sumur, katrol dimanfaatkan untuk mengambil air dari dasar sumur ke permukaan. T = m x g + m x a. Pada gambar terlihat bahwa massa benda kedua lebih besar sehingga sistem bergerak ke kanan. Rumus tegangan tali pada dua benda dihubungkan dengan tali melalui katrol dan salah satu benda terletak pada bidang datar dua buah benda dihubungkan oleh sebuah tali melalui katrol. A = m 2.g/(m 1 + m 2) untuk memantapkan pemahaman kamu tentang gerak benda yang dihubungkan dengan tali melalui katrol silahkan simak contoh soal di bawah ini.
Gaya tegangan ini merupakan bagian dari hukum newton dalam ilmu fisika.
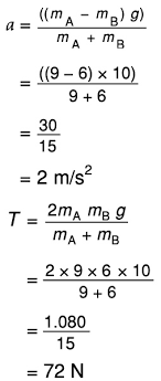
Kumpulan rumus percepatan dan tegangan tali sistem katrol materi dinamika translasi 2 fisikabc f101 dinamika benda partikel : Rumus tegangan tali pada dua benda dihubungkan dengan tali melalui katrol dan salah satu benda terletak pada bidang datar dua buah benda dihubungkan oleh sebuah tali melalui katrol. Jika, massa benda a lebih besar dari massa benda b atau m 1 > m 2, maka mengakibatkan benda a akan bergerak turun dan sebaliknya benda b akan bergerak naik.karena massa dan gesekan katrol diabaikan, maka besarnya tegangan pada ujung tambang selama sistem bergerak. A = percepatan yang dinyatakan dengan m/s2. T = tegangan tali (n). Untuk dua benda menggantung yang dihubungkan dengan katrol seperti gambar diatas, berlaku rumus percepatan sebagai berikut: Katrol ialah roda ataupun cakram pejal yang berputar pada porosnya, dan dilewati sebuah rantai ataupun tali. Gaya tegangan ini merupakan bagian dari hukum newton dalam ilmu fisika. Rumus cepat menghitung nilai percepatan dan tegangan tali pada katrol #1 massa katrol diabaikan ingat bahwa tegangan tali yang dialami benda 1 sama dengan tegangan tali yang dialami benda 2 (t 1 = t 2 = t). Besarnya tegangan tali katrol (t ) dapat ditentukan dengan menggunakan persamaan rumus berikut: Jika permukaan bidang licin dan g = 10 m.s −2, maka percepatan sistem adalah …. Sistem dua buah balok yang melewati katrol, dimana balok yang satu bergerak mendatar dan balok yang lain menggantung, menggunakan prinsip hukum ii newton.
Berbagi
Posting Komentar
untuk "Rumus Tegangan Tali Katrol : Penerapan Hukum Newton Pada Berbagai Kasus / #1 massa katrol diabaikan ingat bahwa tegangan tali yang dialami benda 1 sama dengan tegangan tali yang dialami benda 2 (t 1 = t 2 = t)."
Posting Komentar untuk "Rumus Tegangan Tali Katrol : Penerapan Hukum Newton Pada Berbagai Kasus / #1 massa katrol diabaikan ingat bahwa tegangan tali yang dialami benda 1 sama dengan tegangan tali yang dialami benda 2 (t 1 = t 2 = t)."